本试卷分选择题和非选择题两部分.满分l50分,考试时间l20分钟.
选择题
一、选择题:本大题共l7小题,每小题5分,共85分.在每小题给出的四个选项中,只有一项是符合题目要求的.
(1)已知集合A={1,2,3,4,6,12},C={1,2,3,6,9,18},则A∩C=
A.{1,2,3,4,6,9,12,18}
B.{1,2,3,6}
C.{1,3,6}
D.{1,2,6}
(2)(1+i)4的值是(成人高考更多完整资料免费提供加微信/QQ:29838818)
A.2 B.2i C.4 D.-4

(3)
A.-2 B.-1 C.0 D.1
(4)若向量a=(1,2),b=(-3,4),则(a·b)(a+b)等于
A.20 B.(-10,30) C.54 D.(-8,24)
(5)棱长为a的正方体,其外接球的表面积为
A.πa2B.4πa2C.3πa2D.12πa2
(6)三角形全等是三角形面积相等的
A.充分但不必要条件 B.必要但不充分条件
C.充要条件 D.既不充分也不必要条件
(7)已知y=f(x)(x∈R)是以4为周期的奇函数,且f(l)=1,f(3)=a,则有
A.a=1 B.a=2 C.a=-1 D.a=-2
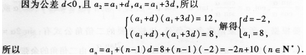
(8)等差数列{an}的公差d<0,且n2·n4=12,a2+a4=8,则数列{an}的通项公式是
A.an=2n-2(n∈N*)B.an=2n+4(n∈N*)
C.an=-2n+12(n∈N*) D.an=-2n+10(n∈N*)
(9)方程2x2-5x+2=0的两根可分别作为
A.一个椭圆和一个双曲线的离心率 B.两个抛物线的离心率
C.一个椭圆和一个抛物线的离心率 D.两个椭圆的离心率
(10)甲、乙两人独立地解同一个问题,甲解决这个问题的概率是P1,乙解决这个问题的概率是P2,那么其中至少有1人解决这个问题的概率是
A.P1+P2B.P1P2C.1-P1P2D.1-(1-P1)(1一P2)

(11)
A.{x|x>0} B.{x|0
(12)5个人排成一排,甲、乙相邻的不同排法有
A.60种 B.48种 C.36种 D.24种

(13)

(14)抛物线y=ax2的准线方程是y=2,则a的值为

(15)一名同学投篮的命中率为2/3,他连续投篮3次,其中恰有2次命中的概率p为

(16)直线Y=ax+2与直线Y=3x-b关于直线y=x对称,则

(17)函数Y=1+3x-x3有
A.极小值-1,极大值1 B.极小值-2,极大值3
C.极小值-2,极大值2 D.极小值-1,极大值3
非选择题
二、填空题:本大题共4小题,每小题4分,共l6分.把答案填在题中横线上.

(18)(成人高考更多完整资料免费提供加微信/QQ:29838818)
(19)设(x+2)4=a0x4+a1x3+a2x2+a3x+a4,则a4=____.
(20)函数y=4sin xcosx的最小正周期及最大值分别是____.
(21)曲线y=2x2-1在点(1,1)处的切线方程是___.
三、解答题:本大题共4小题,共49分.解答应写出推理、演算步骤.
(22)(本小题满分l2分)

(I)求实数a的值;

(II)
(23)(本小题满分12分)
已知等差数列{an}中,a1=9,a3+a8=0.
(I)求数列{an}的通项公式;
(Ⅱ)当n为何值时,数列{an}的前n项和Sn取得最大值,并求该最大值.
(24)(本小题满分12分)
已知抛物线C:x2=2py(p>O)的焦点F在直线l:x-y+1=0上.
(I)求抛物线C的方程;
(Ⅱ)设直线f与抛物线C相交于P,Q两点,求线段PQ中点M的坐标.
(25)(本小题满分l3分)

(I)求函数y=f(x)的单调区间,并指出它在各单调区间上是增函数还是减函数;
(Ⅱ)求函数y=f(x)在区间[0,4]上的最大值和最小值.
答案解析
一、选择题
(1)【参考答案】 (B)
集合A∩C是由同时属于集合A和集合C的元素组成的集合,易得答案为A∩C={1,2,3,6}.
【解题指要】本题考查集合的运算.注意A∪C的结果是(A),二者是不同的.
(2)【参考答案】 (D)
(1+i)4=[(1+i)2]2=(2i)2=-4.
【解题指要】本题考杏复数运算.在复数运算中,要记住:

(3)【参考答案】 (A)

【解题指要】本题考查函数值域的求法,一般采用直接法求解.
(4)【参考答案】 (B)
(a·b)(a+b)=[(1,2)·(-3,4)][(1,2)+(-3,4)] =(-3+8)(-2,6)=5(-2,6)=(-l0,30).
【解题指要】本题考查向量的运算.向量数量积的结果是实数,向量和数的乘积的结果是
向量.
(5)【参考答案】 (C)

【解题指要】本题考查正方体和球的相关知识.
(6)【参考答案】 (A)
若两个三角形全等,则它们的面积相等;然而,面积相等的三角形却不一定是全等三角形,因此答案为充分但不必要条件,选(A).
【解题指要】本题考查充分必要条件的相关知识.
(7)【参考答案】 (C)
因为f(x)是以4为周期的奇函数,所以
f(3)=f(3-4)=f(-l)=-f(1),
即a=-f(1).
又f(1)=1,所以a=-1.
【解题指要】本题考查函数的奇偶性和周期性.
(8)【参考答案】 (D)

【解题指要】本题考查等差数列的通项公式.

(9)【参考答案】(A)

【解题指要】本题考查离心率的相关知识.椭圆离心率的取值范围是(0,1),双曲线离心率的取值范围是(1,+∞),抛物线的离心率为1.
(10)【参考答案】 (D)
【解题指要】本题考查独立事件同时发生的概率.甲不能解决问题的概率为1-P1,乙不能解决问题的概率为1-p2,因此,两人都不能独立解决问题的概率为(1-p1)(1-p2),从而其中至少有1人解决这个问题的概率为1-(1-p1)(1-p2).
(11)【参考答案】 (B)
二次根式要有意义,应有1-lg x≥0,即lg x≤1=lg 10,所以0
【解题指要】本题考查二次根式的概念和对数函数的单调性,求解时要注意对数函数的定
义域.
(12)【参考答案】 (B)

【解题指要】本题考查排列组合的相关知识.对于相邻问题,采用捆绑法比较方便求解.
(13)【参考答案】 (B)

(14)【参考答案】 (B)

【解题指要】本题考查抛物线的标准方程及其相关几何性质.抛物线的标准方程形式:二
几何性质.
(15)【参考答案】 (D)

【解题指要】本题考查n次独立重复事件概率的计算方法.
(16)【参考答案】 (B)

【解题指要】本题考查反函数的求法.求反函数要先“倒”:即把x用y表示;然后“换”:即
x换成y,y换成x;最后“注”:注明反函数的定义域(即原函数的值域).
(17)【参考答案】 (D)
由于y’=3-3x2,x=±1时,y’=0,且x<-1时,y’<0;-1
【解题指要】本题考查导数的应用.注意导数值为0的点,需它的“左邻”和。“右邻”的导数异号.才能判断其为极值点,若两侧导数同号则不行.例如y=x3,y'=3x2,当x=0时.虽然y'=0.但是x>0时y’>0,x
二、填空题

【解题指要】本题考查分式不等式的解法,其基本步骤如下:①移项;②通分;③转化为
整式不等式.
求解本题时要注意分母不为0这一条件.
(19)【参考答案】 l6
根据二项式定理,可知a4=24=16.【解题指要】 本题考查二项式定理.
(20)【参考答案】 π,2

【解题指要】本题考查二倍角的正弦公式、三角函数的周期与最值等知识.
(21)【参考答案】4x-Y-3=0

【解题指要】本题考查二倍角的正弦公式和余弦公式,考查两角差的三角函数公式.本题

(23)【参考答案】
解(I)设等差数列{an}的公差为d,由已知a3+a8=0,得2a1+9d=0.又已知a1=9,所以d=-2.
数列{an}的通项公式为
an=9-2(n一l),即an=11-2n.
(Ⅱ)数列{an}的前n项和

当n=5时,Sn取得最大值25.
也可采用下面的方法:因为该等差数列递减,要求其前n项和的最大值,只需关注该数列的
正项即可.令an=11-2n>0,得n<11/2,即取n为5.
易知数列的前5项依次为:9,7,5,3,1,故前n项和的最大值为
S5=9+7+5+3+1=25.
此法也是常见思路之一.
【解题指要】本题考查等差数列的通项公式和前n项和公式.
(24)【参考答案】
解(I)由抛物线方程x2=2py(p>0)为标准方程,知其焦点在y轴正半轴上.在直线x-y+1=0中,令x=0,得焦点坐标为F(0,1),所以p/2=1,即P=2,故抛物线C的方程是x2=4y.
(Ⅱ)设P,Q的坐标分别为(x1,y1),(x2,y2).

代入直线l的方程,得M的纵坐标为yM=3,所以线段PQ中点M的坐标为(2,3).
【解题指要】本题考查抛物线和直线的相关知识.

【解题指要】本题考查导数的应用:用导数判断函数的单调区间和求函数的最大值、最小值.